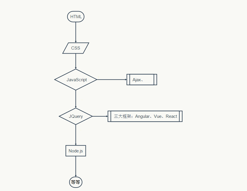
前端入门容易,学精不易,得学习很多知识,这里只写重要的。
images_01.png
其他:

  1. 相关框架:BootStrap、EasyUI 2. 版本控制:Git/SVN/Mercurial
  2. 图表:ECharts/Highcharts 4. 构建工具及包管理器:Grunt/Gulp
  3. CSS预处理器:Sass/Less 6. 移动端:Zepto、JQueryMobile